扫一扫
加微信
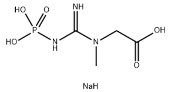
基本信息
磷酸肌酸钠,一种重要的医药中间体。
化学名称
磷酸肌酸钠
CAS 编号 分子式 分子量
922-32-7 C4H11N3NaO5P 235.11
化学结构

产品标准
性状:白色针状结晶粉末
纯度:≥98%
应用(包括但不限于此)
适用于保护心肌缺血状态下的心肌代谢异常;检测肌酸激酶(creatine kinase)的底物。
产品特性
溶解性:可溶于水,在水中的溶解度0.1 g/mL,澄清,无色
储存条件
在惰性气体保护下,2–8 °C 冷藏保存。